Event
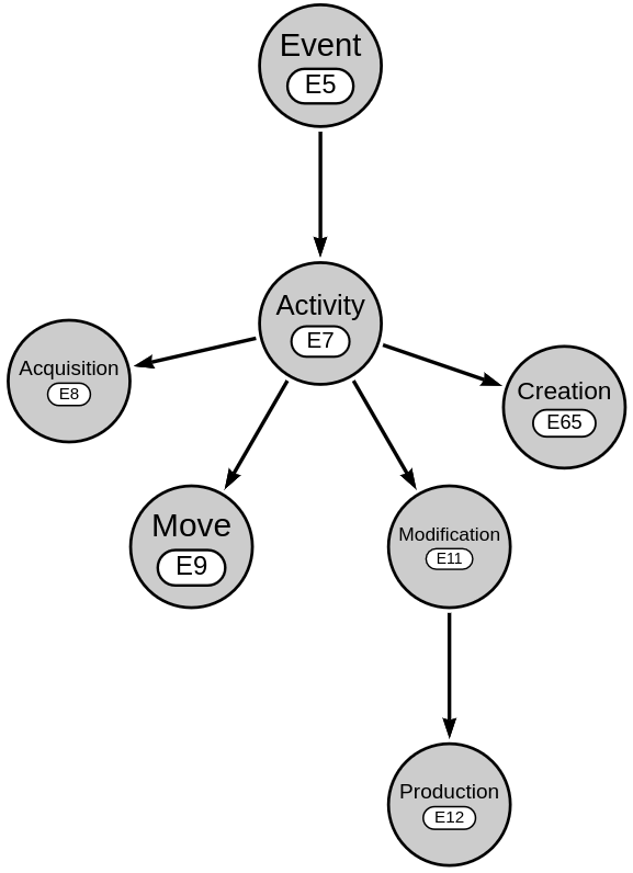
CIDOC documentation: E7 Activity, E8 Acquisition, E5 Event, E11 Modification, E9 Move, E12 Production and E65 Creation
Activity (E7 Activity) - The most common form of event, such as a battle, a meeting, or a wedding
Acquisition (E8 Acquisition) - Maps a change of property from one owner to another
Creation (E65 Creation) - The creation of a document (file; for the making of an artifact use production)
Event (E5 Event) - Used for events without human involvement such a natural disaster
Modification (E11 Event) - Used to track the modification of artifacts, e.g. a conservation treatment or a change of parts
Move (E9 Move) - Movement of artifacts or a person
Production (E12 Production) - The creation of artifacts
CIDOC CRM hierarchy for the different types of events included in OpenAtlas.
At the index page already entered entities are listed in a Table.
Click on the + button to enter a new one
Click on the name of an entry in the list to access the detail view
To edit or delete an entry, click on the Edit button in the detail view.
Form fields
Location - The Place where an event happened
Sub event of - As Events can be part of another event (e.g. a battle as a sub event of a war), they can be linked here
Preceding event - Events can follow up other events, useful for e.g. entering a journey, link them here
Can be linked via tabs to
Source - Use this way to link to a source if an event is refered to in it
Actor - Add participants or recipient and donor in case of an acquisition
Reference - Add a citation
File - Add a file such as an image
For a step by step instructions have a look at our Examples.
Acquisition
Given place - Select which places changed ownership
Given artifact - Select which artifacts changed ownership
To add recipients and donors use to the Actor tab, add actors and select as activity:
acquired title through for recipients
surrendered title through for donors
Creation
Document (File) - Select files that were created
The creators of the document can be added via the Actor tab; therefore, select carried out by to link
Modification
Artifact - Select artifact(s) that were modified
The creators of an artifact can be added via the Actor tab; therefore, select carried out by to link
Move
From - Place - as a starting point
To - Place - as a destination point
Moved Artifact - Select the artifact(s) moved in an event
Moved Person - Select the people moved in an event
Unfortunately CIDOC CRM doesn’t allow for a moved by relation for groups. It is still possible to “move” groups via the actor tab, which in the background creates a more general participated at relation between the group and the move event. For more information please take a look at Journey or Move events tutorial.
Production
Artifact - Select artifact(s) that was/were produced during the production event
The creators of an artifact can be added via the Actor tab. Therefore, select carried out by to link